• Analizza eventi recenti

Messaggi consigliati

Inserita:

per Tutti e per Kalel :

Il mio gioco è un po diverso dai calcoli di Kakek poiché io parto da una cassa di 100 e poi metto in gioco:

100 x 1,06 = 106

106 x 1,06 = 112

112 x 1,06 = 119

119 x 1,06 = 126 ecc ecc ecc ecc

Ok allora quando ci sarà la caduta (5-6 volte su 100) perderai 106 o 112 o 119, ecc. e il risultato medio sarà lo stesso.

dopodiché appena raggiungo una cifra considerevole, ritiro e ricomincio la mia cassa da 100 quindi se le eventuali perdite non avvengono subito io ho incamerato una vincita con la quale posso ricominciare senza rilasciarla tutta in un colpo al casinò.

"Se" (non "appena") raggiungi una cifra considerevole, allora sarai stato fortunato.

dopodiché non appena sono arrivato al limite del burrone, ossia nel caso che abbiamo in esame, ho una permanenza paritaria di 7/8 rossi e 7/8 neri io mi fermo perché sono a rischio, in quanto il masaniello negli ultimi colpi con alternanza pari mi fa puntare molto.

Ma se ti fermi allora stai perdendo più spesso del 5%-6% medio, anche se perdi meno.

Forse questo potrebbe fare la differenza (anche se non credo)... infatti è vero che non perdi 100 o 106, ecc. ma quello che perdi lo devi recuperare a colpi di 6-7-8 pezzi a partita... è vero che non perdi 5-6 volte la cassa ma perderai più volte un po' meno...

Insomma se abbassi la bilancia da un lato, si alzerà dall'altro e il risultato medio finale temo che non cambi.

mi sta dando belle soddisfazioni e sino ad adesso non ho subito una perdita considerevole, magari a volte vado in pareggio

Non posso negare che stai vincendo, ma la mia analisi dovrebbe illustrare cosa aspettarsi da questo tipo di gioco. Ci vorrebbero altri 99 giocatori come te e vedere se 5-6 (o anche più visto che è previsto uno stop-loss) perdono invece di vincere.

Inserita:

Kalel prendo atto di tutto quello che gentilmente mi prospetti, le vincite sono dalla mia parte e il rendimento è abbastanza sostanzioso in proporzione alla cifra investita inizialmente, ma ciò nonostante adesso sono meno spregiudicato e più guardingo.

Io ho abbastanza fiducia a questo modo di giocare anche perché noto che le esposizioni di cassa sono esigue, nella media vado sotto di circa il 4-5%, anche perché adesso gioco il differenziale sul Rosso/Nero, Pari/dispari, Alti/Bassi.

La cassa pertanto è divisa tra i tre giochi e quindi le puntate sono inferiori e anche se il rischio è lo stesso, non appena ho un guadagno che mi soddisfa tra le tre giocate, ritengo il gioco concluso con vincite giornaliere costanti.

Debbo dire che tra i giochi intrapresi nella mia breve carriera è il più soddisfacente, meno rischioso e più divertente

Spero che qualcuno ci giochi anche per scambiarsi pareri

Inserita:

scusa kalel ma non afferro bene il calcolo che hai fatto il 1/9

se ho una probabilità di vincita dell'82,38% è come se giocassi 5 sestine

mi fai la cortesia o chiunque legge il post, io ci tento ma non sono in grado, di calcolarmi quante probabilità ho che una sestina perdente mi esca 4 volte su nove (il masa padre)

grazie anticipate

Inserita:

scusa kalel ma non afferro bene il calcolo che hai fatto il 1/9

Probabilmente perché ho scritto direttamente i risultati, calcolati sommando le probabilità dei vari sviluppi.

Con una formula dovrebbe essere più chiaro (vedi sotto).

se ho una probabilità di vincita dell'82,38% è come se giocassi 5 sestine

Meglio con 5 sestine: 5/6 = 83,33% (roulette senza zero)

quante probabilità ho che una sestina perdente mi esca 4 volte su nove (il masa padre)

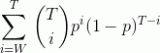
Se una partita (masa figlio) ha probabilità p di essere vinta, la probabilità di vincere almeno W partite su T (masa padre) è data dalla formula allegata a questo post.

Se vogliamo calcolare la prob. di vincere 6 partite su 9, usiamo T=9, W=6 e p=0,8238 (masa figlio 11/20@2) e si ottiene quel 94,25% che avevo calcolato sommando i singoli sviluppi.

Se usiamo p=0,8333 (5 sestine) si ottiene: 95,20%

post-10794-0-50316800-1442074502_thumb.g

Inserita:

Grazie sempre Kalel sai spiegare molto bene le formule, son stato fuori ed ho potuto rispondere solo adesso

Ho pensato molto ai tuoi post ed alle 5 sestine su 6, renderebbe il gioco più veloce mantenendo quasi le stesse probabilità e rendimento, vi farò sapere!!!

Invece cosa ne pensate su un differenziale sulle dozzine, andando a cercare con un masaniello la vincita di 2 dozzine uguali su 3 boules?

Mi renderebbe il 28,66% contro una probabilità di perdita di 3/27 (1/9) logicamente il gioco sarà gestito sempre da masa padre per evitare di perdere tutto in un colpo.

In pratica sto cercando una alternativa al mio gioco precedente che, anche se redditizio è lungo nella gestione

Inserita:

Ho trovato un'altra soluzione a seguito delle indicazioni del prezioso Kalel, ve la espongo in quanto la ritengo molto stabile e con la speranza di poterla migliorare eventualmente:

gioco 5 sestine su 6 pertanto ho un utile del 20% su ogni colpo vinto

inserita in un masaniello 6 attesi su 9 mi rende il 5% del capitale con una probabilità di vincita del 95,20%

gioco 6 masanielli sul differenziale in contemporanea, ognuno di loro lascia fuori una delle 6 sestine (sempre 5/6)

il gioco ad esempio sarebbe:

cassa 10 x 6 masanielli = 60

rendimento 60 x 5% = 3

su 100 partite 95 li vinco quindi: 95 x 3 = 285

partite perse 5 x 10 = 50

Adesso volevo gentilmente che qualcuno (kakel) mi aiutasse a capire se quel calcolo famoso fosse su una singola sestina oppure su qualsiasi sestina ci sia la percentuale di uscita del 5% in 100 colpi.

intanto io la gioco con importi provvisori e vi terrò al corrente in seguito

Inserita:

CI SONOOOO

il sistema regge, gioco in mutualità come se fossero 6 giocatori e in differenziale puntando per differenza sulla minima puntata

ho provato diverse volte con casse da 10 x 6 e vinco regolarmente intorno al 4-5% della cassa totale, influenzato dalla copertura dello 0 per pochi spiccioli

massima puntata globale circa 12 euro

probabilità di salto direi esigua, il 3 volte della medesima sestina si è presentato più spesso di quanto pensassi, ed avendo però le casse globali a pareggio me ne sono scappato ricominciando una nuova partita

Insomma il sistema va, l' importante che non mi escano le tre sestine uguali nei primi tre colpi, perderei una volta e mezza l'eventuale vincita, quindi 4,5 euro, però recuperabile dal prossimo gioco

Inserita:

ogni masaniello gestisce un gruppo di 5 sestine diverse, pertanto la puntata è divisa tra le 5 sestine, quindi puntata 10 = 2 x 5 sestine, se il masa indica puntata 15 = 3 x 5 sestine

masa 1 : 1-2-3-4-5 euro 2 x 5

masa 2 : 1-2-3-4-6 euro 2 x 5

masa 3 : 1-2-3-5-6 euro 2 x 5

masa 4 : 1-2-4-5-6 euro 3 x 5

masa 5 : 1-3-4-5-6 euro 3 x 5

masa 6 : 2-3-4-5-6 euro 3 x 5

le puntate saranno:

sestina 1 : 2+2+2+3+3 = 12

sestina 2 : 2+2+2+3+3 = 12

sestina 3 : 2+2+2+3+3 = 12

sestina 4 : 2+2+3+3+3 = 13

sestina 5 : 2+2+3+3+3 = 13

sestina 6 : 2+2+3+3+3 = 13

quindi a fronte della minore puntata che è 12 io punterò sulla sestina 4 5 6 la differenza che è 1 euro

in questo caso anche se io voglio investire una cassa di 50 euro, posso impostare i masa ad una cassa di 30 e più euro ciascuno, simulando una giocata complessiva di 180 euro che per un rendimento del 4-5% mi rende tra le 7 e 9 euro per partita.

i primi colpi sono spesso vincente, con il resto mi regolo se vale la pena continuare per l'eventuale recupero oppure ritirare la giocata ricominciando e pertanto è impossibile perdere la cassa

Il primo colpo non viene puntato col differenziale e in questo modo la copertura allo 0 sarà limitata a pochi spiccioli

Non appena ho tempo cercherò di valutare la rendita su altre figure quali il 7/11 o simili per renderlo meno spericolato

Inserita:

sestina 1 : 2+2+2+3+3 = 12

sestina 2 : 2+2+2+3+3 = 12

sestina 3 : 2+2+2+3+3 = 12

sestina 4 : 2+2+3+3+3 = 13

sestina 5 : 2+2+3+3+3 = 13

sestina 6 : 2+2+3+3+3 = 13

quindi a fronte della minore puntata che è 12 io punterò sulla sestina 4 5 6 la differenza che è 1 euro

Questo tipo di differenziale va bene per le chance semplici...

E infatti la puntata che qui hai portato come esempio è di fatto una chance semplice, nel senso che avremo un gruppo di 18 numeri su cui dovremmo puntare 36 euro e un gruppo con gli altri 18 numeri su cui dovremmo puntare 39 euro.

Per differenza facciamo 39-36= 3 euro da distribuire equamente nel modo che ci viene più comodo (o 1 euro a sestina, o 0,16 sui pieni che fanno parte di quel gruppo, è la stessa cosa)

Ma come ti comporti quando devi differenziare tra quattro o cinque diverse puntate?

Te lo chiedo perchè io a suo tempo avevo trovato un modo per differenziare in presenza di più di due puntate diverse, ma mi ci era voluto un po' per trovare l'algoritmo corretto.

Inserita:

capisco che il differenziale è applicato sulle chance alla pari, ma sembra funzionare anche per le altre in maniera diversa, mi spiego

se i masa mi indicano di puntare:

1a 5 euro

3a 8 euro

4a 10 euro

6a 15 euro

spenderei 38 euro e se uscisse la 1a sarei sotto di 8, se uscisse la 4a sarei sopra di 22

io gioco per differenza con la minima puntata quindi:

1a 0

3a 3

4a 5

6a 10

spendo 18 euro e se uscisse la 1a o qualsiasi non giocata son sotto di 18, mentre se esce la 4a son sopra di 12

quindi è un differenziale anomalo ma che mi funziona benissimo, perché come dicevo nel post precedente, se devo giocare 10 euro per masa ho una cassa complessiva di 60 e quindi il rendimento del 5% sarebbero 3 euro

in questo modo ho notato che poiché le esposizioni sono inferiori anche se ho 60 euro di soldi, posso impostare la cassa complessiva dei masa a 180 euro (30 ciascuno) e quindi anche con un rendimento inferiore, ho una vincita superiore.

Sarebbe da studiarci su, ma capisco che ho dei limiti, per questo espongo e chiedo pareri su quello che percepisco, comunque il sistema nel complessivo tiene abbastanza bene ed è velocissimo, mi ripeto, all'apparire del burrone sono in grado di ritirarmi senza grosse perdite

Inserita:

capisco che il differenziale è applicato sulle chance alla pari, ma sembra funzionare anche per le altre in maniera diversa,

....

1a 5 euro

3a 8 euro

4a 10 euro

6a 15 euro

spenderei 38 euro e se uscisse la 1a sarei sotto di 8, se uscisse la 4a sarei sopra di 22

io gioco per differenza con la minima puntata quindi:

......

spendo 18 euro e se uscisse la 1a o qualsiasi non giocata son sotto di 18, mentre se esce la 4a son sopra di 12

quindi è un differenziale anomalo ma che mi funziona benissimo

E non funziona proprio mi sa :)

Il concetto è giusto, infatti devi giocare per differenza con la puntata minima.. il problema è che nel tuo esempio (se ho capito bene) ci sono due sestine che non giocano cioè su cui stai puntando zero. Quella è la tua puntata minima.

Se giochi per differenza con la puntata minima devi sottrarre la puntata zero, e quindi in pratica non puoi differenziare...

Quello che hai applicato non è un differenziale, semplicemente è una puntata diversa... e infatti come tu stesso hai detto ottieni importi diversi di vincita o perdita.

Il differenziale invece è una puntata che al diminuire degli importi puntati deve lasciare invariata la vincita.

Se esce la quarta sestina nel primo caso vai a +22 nel secondo vai a +12.. non mi sembra la stessa cosa.

Inserita:

Hai perfettamente ragione, prima giocavo con il differenziale come dici tu, ossia su quello che mi indicavano i masa, ed avevo un rendimento costante del 5% per come erano i rendimenti dei masa stessi

ho regolato il criterio su quello che ti ho esposto ed ho notato che in termini di soldi la vincita è superiore perché posso giocare casse superiori e per questo, quanto prima, studierò questo criterio su dei masa che abbiano rendimenti minori, quindi probabilità di chiudere in vincita superiori.

Vorrei giocare con il 6/10 che rende l'1,6% ma potrei solo con il "differenziale" che ti ho descritto aumentando fittiziamente la cassa

In entrambi i casi, sul primo che non è un differenziale ma una mutualità e sul secondo che è una variante impostata male, al momento son vincente ma so già la risposta, "le prove sono poche"

Anche con le chance semplici sono vincente, però son lunghe e sto cercando una alternativa che mi permetta di stare al pc il meno possibile

Inserita:

aggiornamento per JJ

in entrambi i "differenziali" il sistema si comporta in modo analogo:

cassa 10 x 6 masa = 60 capitale totale

in caso di vincita 4,45% del capitale totale = 2,67

in caso di uscita di 4 sestine perdita del 75% di un masa = 7,5

quindi 95 partite vinte x 2,67 = 253,65

5 partite perse x 7,5 = 37,5

e questo però è matematicamente, però gradirei aiuti da tutti

Inserita:

aggiornamento per JJ

in entrambi i "differenziali" il sistema si comporta in modo analogo:

Scusa, se quando vinci in uno vai a +22 e nell'altro a +12 come fai ad avere alla fine gli stessi importi?

Tanto per essere sicuri che stiamo parlando della stessa cosa riscrivo i tuoi esempi qui di seguito, dimmi se è il modo corretto:

Non differenziata:

prima sestina punta 5 euro ............ - 8

seconda sestina punta 0 ............... -38

terza sestina punta 8................. +10

quarta sestina punta 10............... +22

quinta sestina punta 0................ -38

sesta sestina punta 15............... +52

Differenziata

prima sestina punta 0 ............ -18

seconda sestina punta 0 .......... -18

terza sestina punta 3............ 0

quarta sestina punta 0........... -18

quinta sestina punta 5........... +12

sesta sestina punta 10...........+42

Quindi mettiamo che sortisca il numero 23 (quarta sestina):

Per come ho capito io se giochi il tuo differenziale ti ritrovi a -18 invece giocando normale saresti stato a +22...

Puntando in questo modo non è possibile ottenere alla fine gli stessi importi.. sono semplicemente due puntate diverse.

Inserita:

chiamiamo il differenziale classico sulla puntata a 0 diff A e quello con il mio differenziale diff B

cassa di ciascun masaniello 30 euro per un totale di euro 180

la prima puntata è 0 per entrambi i differenziali in quanto tutte le puntate sono eguali, esce la 1a sestina:

seconda puntata

diff a : 1a 0 sul resto 0,82

diff b : 1a 0 sul resto 0,82 esce la 2a

diff a + 0,82

diff b + 0,82

terza puntata

diff a : 1a 0,77 - 2a 0,77 - 3a 1,55 - 4a 1,55 - 5a 1,55 - 6a 1,55

diff b : 1a 0,00 - 2a 0,00 - 3a 0,77 - 4a 0,77 - 5a 0,77 - 6a 0,77 esce la 3a

diff a : + 1,55

diff b : + 1,55

quarta puntata

diff a : 1a 1,35 - 2a 1,35 - 3a 1,35 - 4a 2,03 - 5a 2,03 - 6a 2,03

diff b : 1a 0,00 - 2a 0,00 - 3a 0,00 - 4a 0,77 - 5a 0,77 - 6a 0,77 esce la 4a

diff a : + 2,03

diff b : + 2,03

quinta puntata

diff a : 1a 1,58 - 2a 1,58 - 3a 1,58 - 4a 1,58 - 5a 2,11 - 6a 2,11

diff b : 0,00 0,00 0,00 0,00 0,53 0,53 esce la 5a

diff a : + 2,11

diff b : + 2,11

sesta puntata

diff a : 1a 2a 3a 4a 5a 1,36 - 6a 1,70

diff b : 1a 2a 3a 4a 5a 0,00 - 6a 0,34 esce la 6a

diff a : + 1,70

diff b : + 1,70

settima puntata non esiste perché tutte le puntate saranno uguali

Inserita:

sull'esempio che ti avevo fatto inizialmente, le puntate erano dettate a caso da me, ma con le puntate come me le dettano i masaniello il calcolo funziona alla perfezione.

sul "differenziale" da me organizzato le esposizioni sono minori, euro 10,62 contro il "tuo" differenziale 41,02 restando invariata la vincita di 8,20 su un capitale di 180 euro ossia del 4,55% costante

Inserita:

Non è che il calcolo funziona alla perfezione con le puntate che ti detta la masaniello.. il calcolo funziona alla perfezione perchè in questo ultimo tuo esempio la masaniello ti sta dettando solo 2 puntate (una maggiore, l'altra minore e si fa la differenza)

seconda puntata:0\0,82

terza puntata: 0,77\1,55

quarta puntata: 1,35\2,03

quinta puntata: 1,58\2,11

sesta puntata: 1,36\ 1,70

E praticamente ci ritroviamo al punto del messaggio 36 quando ti dicevo:

Questo tipo di differenziale va bene per le chance semplici...

Ma come ti comporti quando devi differenziare tra quattro o cinque diverse puntate?

Cioè quando la masa ti "detterà" più di due importi (ma va bene anche se i numeri li detti a caso tu come avevi fatto nel tuo esempio), come fai a differenziare mantenendo inalterati i parametri della progressione?

Inserita:

differenziale sulle sestine:

a) 2 4 6 8 10 12 punto 42 esce la 5a sono a +18

B) 0 2 4 6 8 10 punto 30 esce la 5a sono a +18 (differenziale)

differenziale sulle terzine

a) 2 4 6 punto 12 esce la 2a sono a 0

b 0 2 4 punto 6 esce la 2a sono a 0 (differenziale)

differenziale sui pieni

a) su 34 pieni punto 1, sul 35 punto 2, sul 36 punto 3

totale puntate 39 esce il 35 sono a +33 - se esce l'1 sono a -3

B) su 34 pieni non punto, sul 35 punto 1 sul 36 punto 2

totale puntate 3 se esce il 35 sono a + 33 - se esce l'1 sono a -3 (differenziale)

il differenziale è applicato sul minimo valore

Inserita:

Ok Oscarellino, adesso ci siamo.

Come giustamente hai scritto, per applicare questo differenziale hai bisogno di avere tutti importi superiori a zero.. e solo in questo caso le vincite rimarranno invariate dopo aver applicato il differenziale

Nel caso in cui tu abbia già di partenza delle puntate pari a zero, non ci sarà nulla da differenziare perchè la "differenza" andrebbe fatta con la puntata minima che è appunto zero.

Ecco perchè ti contestavo questo esempio qui:

se i masa mi indicano di puntare:

1a 5 euro
3a 8 euro
4a 10 euro
6a 15 euro
spenderei 38 euro e se uscisse la 1a sarei sotto di 8, se uscisse la 4a sarei sopra di 22

io gioco per differenza con la minima puntata quindi:
1a 0
3a 3
4a 5
6a 10
spendo 18 euro e se uscisse la 1a o qualsiasi non giocata son sotto di 18, mentre se esce la 4a son sopra di 12

quindi è un differenziale anomalo ma che mi funziona benissimo

Ma non era una critica fine a se stessa.. volevo andare a parere da un'altra parte:

prima sestina punta 0

seconda sestina punta 6

terza sestina punta 30

quarta sestina punta 36

quinta sestina punta 48

sesta sestina punta 60

Esposizione totale 180

qui puoi differenziare?

Inserita:

riepilogo e correggo le percentuali sul mio "sistema" che non se ne frega nessuno

30 euro per masa x 6 masa = cassa totale 180 euro

in caso di perdita (4 sestine uguali su 9) 75% di 30 = 22,50 euro

percentuale di vincita: 4,55 su 180 = 8,20

percentuale di vincita sulla perdita = 36,44%

Inserita:

riepilogo e correggo le percentuali sul mio "sistema" che non se ne frega nessuno

?

non mi sembra un cattivo sistema

Inserita:

riepilogo e correggo le percentuali sul mio "sistema" che non se ne frega nessuno

Mi sembra che i dati che posti si riferiscano alle tue partite, quindi alla limitata esperienza (positiva) che stai provando.

Quello che servirebbe sono dati statistici, ma so già che, facendo una simulazione con qualche milione di partite, avremmo le percentuali che già tutti immaginiamo e cioè parità (media) tra le vincite e le perdite con guadagno 0.

Detto questo, il modo in cui giochi mi sembra comunque interessante perché (grazie al masa) riesce a "galleggiare" più di altri ma la battaglia da vincere resta sempre quella tra il giocatore e la sua VogliaDiVincere indefinitamente.

Inserita:

grazie Kalel

io non cerco il sistema infallibile, non ne sono in grado, ma un sistema che giocando una ventina di colpi al giorno mi dia una rendita extra

all'infinito capisco che non posso battere la roulette, però con un sistemino leggero, che regge, mordi e fuggi.... potrei farcela

se sono qui a darvi da subito spiegazioni del mio gioco è per avere un conforto ed indicazioni da chi legge, infatti tu mi hai instradato al cambio sistema sulle sestine che ha reso il mio gioco più veloce e più proficuo, ma ancora non mi sono fermato sullo studio.

ad esempio volevo chiederti se è meglio ricercare la non uscita di 4 sestine su 9 su tutte le sestine, oppure attendere l'uscita di 2 volte di seguito la stessa sestina per andare a ricercare la non uscita di 3 sestine su 7 della medesima? direi che con la seconda sembra migliore

Unisciti alla conversazione

Adesso puoi postare e registrarti più tardi. Se hai un account, registrati adesso per inserire messaggi con il tuo account.

Ospite
Rispondi

×   Incolla come testo formattato.   Incolla invece come testo normale

  Sono permesse un massimo di 75 faccine.

×   Il tuo link è stato inserito automaticamente.   Visualizza invece come link

×   Il tuo contenuto precedente è stato ripristinato.   Editor trasparente

×   Non puoi incollare le immagini direttamente. Carica o inserisci immagini dall'URL.

Caricamento